Oraşul Năsăud, al treilea ca mărime din judeţ după Bistriţa şi Beclean, are, potrivit Direcţiei Regionale de Statistică Bistriţa-Năsăud, o populaţie de 11.682 de locuitori, cu puţin mai mare decât a celei mai populate comune, Maieru, care e locuită de 8138 de oameni.
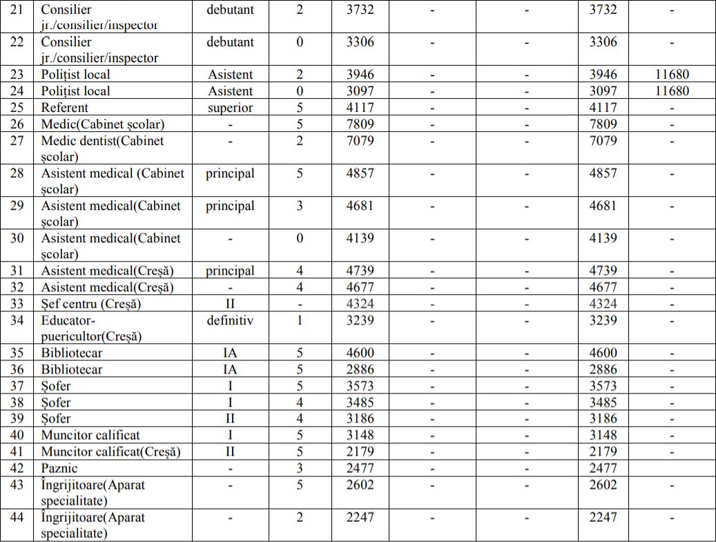
Cu toate acestea, administraţia locală are nu mai puţin de 57 de angajaţi. Primarul, viceprimarul, secretarul oraşului, şefii de servicii şi birouri sau consilierii au salarii foarte mari pentru o localitate atât de mică în care nu se întâmplă mare lucru, singurul eveniment notabil fiind intrarea în Cartea Recordurilor care însă nu a adus niciun folos concret oraşului sau zonei. Doar s-au cheltuit mulţi bani degeaba.
Reamintim că primar al oraşului Năsăud este Mircea Romocea, profesor numit inspector general-adjunct în timpul guvernării PDL, care a candidat independent şi a trecut ulterior la PSD, iar viceprimar este Dorin Vlaşin (PNL). De altfel, la Năsăud nu există divergenţe între putere şi opoziţie, existând chiar zvonul că Dorin Vlaşin ar fi viitorul candidat de primar, agreat de ambele partide.














La Năsăud este tot un fel de USL conceput de această dată de Olteanu și Răducu,adică orice s-ar întâmpla să nu se schimbe nimic.
Cu o mica corectura! Romocea nu a fost niciodata candidat independent, a fost o minciuna neobservata de nimeni! El a deschis inclusiv lista de consilieri locali a PSD, respectiv USL , in aceleasi alegeri! Mu avea cum sa fie pe liste fara sa fie membru de partid… asta e , hotul neprins e om cinstit :)))