Primăria Bistrița a primit două contestații legate de proiectul de buget pe 2018, care va fi aprobat în ședința Consiliului Local din 14 februarie, ora 14.00.
Prima dintre ele aparține Asociației Bistrița Civică, președinte Adrian Florin Chereji:
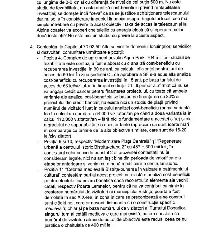
Contestație a făcut și consilierul municipal PNL Ioan Peteleu:














Din pacate , edilii nostri gandesc “miop” nu dau dovada de creativitate manageriala.Hai sa ne distram pe banul public!-sloganul actualei administratii.
Felicitari domnului Chereji. Voi fi cu dvs.
Ne vom da cu masinile pe topogan … topogane vs strazi … sa vedem cum gandesc “inteligenti”
BRAVO DOMNULE CHEREJI SI DOMNULE PETELEU. NU VA LASATI FACETI CUNOSVUTE PENTRU NOI OAMENI SIMPLI TOATE ABERATIILE ACESTOR CONDUCATORI. VA INTREB OSRE SUNT METODE LEGALE PENTRU AI OPRII DD LA ACESTE ABUZURI CU BANUL PUBLIC??? FACETI TOT CE VA STA IN PUTINTA.